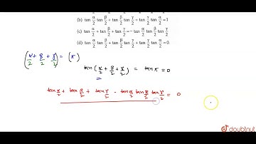
If \( \alpha+\beta+\gamma=2 \pi \), then the system of equations \[...

Tonton & Download Video Musik Gratis

⬇ DOWNLOAD NOW
Kalau muncul iklan pop-up, tutup lalu klik tombol kembali

Download lagu If \( \alpha+\beta+\gamma=2 \pi \), then the system of equations \[... secara gratis hanya untuk keperluan promosi. Dukung artis favorit kamu dengan membeli musik original di iTunes atau platform resmi lainnya.