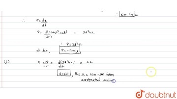
The displacement of a particle moving along x-axis with respect to time t is x=a t+b t^2-c t^3. T...

Tonton & Download Video Musik Gratis

⬇ DOWNLOAD NOW
Kalau muncul iklan pop-up, tutup lalu klik tombol kembali

Download lagu The displacement of a particle moving along x-axis with respect to time t is x=a t+b t^2-c t^3. T... secara gratis hanya untuk keperluan promosi. Dukung artis favorit kamu dengan membeli musik original di iTunes atau platform resmi lainnya.