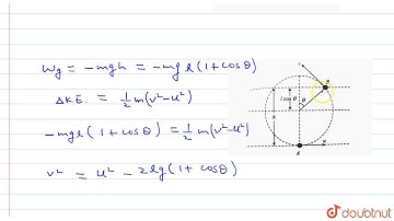
The bob of a stationary pendulum is given a sharp hit to impart it a horizontal speed of `sqrt(3...

Tonton & Download Video Musik Gratis

⬇ DOWNLOAD NOW
Kalau muncul iklan pop-up, tutup lalu klik tombol kembali

Download lagu The bob of a stationary pendulum is given a sharp hit to impart it a horizontal speed of `sqrt(3... secara gratis hanya untuk keperluan promosi. Dukung artis favorit kamu dengan membeli musik original di iTunes atau platform resmi lainnya.