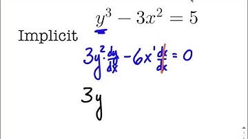
Explicit and Implicit to perform Dy/Dx / Derivative of Explicit and Implicit Function /Exercise 3.3

Tonton & Download Video Musik Gratis

⬇ DOWNLOAD NOW
Kalau muncul iklan pop-up, tutup lalu klik tombol kembali

Download lagu Explicit and Implicit to perform Dy/Dx / Derivative of Explicit and Implicit Function /Exercise 3.3 secara gratis hanya untuk keperluan promosi. Dukung artis favorit kamu dengan membeli musik original di iTunes atau platform resmi lainnya.