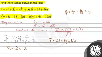
Find the distance between the lines `l_(1)` and `l_(2)` given by `vec(r)=(hat(i)

Tonton & Download Video Musik Gratis

⬇ DOWNLOAD NOW
Kalau muncul iklan pop-up, tutup lalu klik tombol kembali

Download lagu Find the distance between the lines `l_(1)` and `l_(2)` given by `vec(r)=(hat(i) secara gratis hanya untuk keperluan promosi. Dukung artis favorit kamu dengan membeli musik original di iTunes atau platform resmi lainnya.