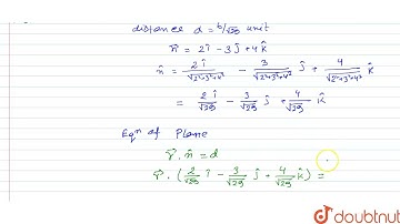
Find the vector equation of a plane which is at a distance of 5 units from the origin and has -1...

Tonton & Download Video Musik Gratis

⬇ DOWNLOAD NOW
Kalau muncul iklan pop-up, tutup lalu klik tombol kembali

Download lagu Find the vector equation of a plane which is at a distance of 5 units from the origin and has -1... secara gratis hanya untuk keperluan promosi. Dukung artis favorit kamu dengan membeli musik original di iTunes atau platform resmi lainnya.