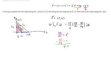
Use Green's Theorem to calculate the work done by the force on a particle that is moving counterclo…

Tonton & Download Video Musik Gratis

⬇ DOWNLOAD NOW
Kalau muncul iklan pop-up, tutup lalu klik tombol kembali

Download lagu Use Green's Theorem to calculate the work done by the force on a particle that is moving counterclo… secara gratis hanya untuk keperluan promosi. Dukung artis favorit kamu dengan membeli musik original di iTunes atau platform resmi lainnya.