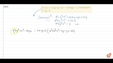
x, y ad z are real numbers. If x^3 + y^3 + z^3 = 13, x + y + z = 1, and xyz = 1,find xy + yz +zx?.

Tonton & Download Video Musik Gratis

⬇ DOWNLOAD NOW
Kalau muncul iklan pop-up, tutup lalu klik tombol kembali

Download lagu x, y ad z are real numbers. If x^3 + y^3 + z^3 = 13, x + y + z = 1, and xyz = 1,find xy + yz +zx?. secara gratis hanya untuk keperluan promosi. Dukung artis favorit kamu dengan membeli musik original di iTunes atau platform resmi lainnya.