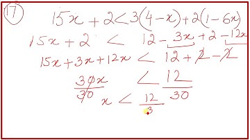
Applied Finite Math 1010: Chapter1: Excecise 1.4 : Linear inequalities in two variables

Tonton & Download Video Musik Gratis

⬇ DOWNLOAD NOW
Kalau muncul iklan pop-up, tutup lalu klik tombol kembali

Download lagu Applied Finite Math 1010: Chapter1: Excecise 1.4 : Linear inequalities in two variables secara gratis hanya untuk keperluan promosi. Dukung artis favorit kamu dengan membeli musik original di iTunes atau platform resmi lainnya.