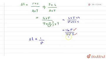
The ratio of diameters of two wires of same material is n:1. The length of each wire is 4 m. On ...

Tonton & Download Video Musik Gratis

⬇ DOWNLOAD NOW
Kalau muncul iklan pop-up, tutup lalu klik tombol kembali

Download lagu The ratio of diameters of two wires of same material is n:1. The length of each wire is 4 m. On ... secara gratis hanya untuk keperluan promosi. Dukung artis favorit kamu dengan membeli musik original di iTunes atau platform resmi lainnya.