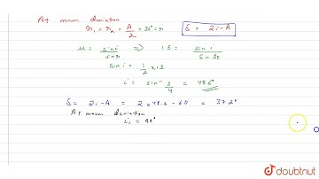
An equilateral glass prism is made of a material of refractive index 1.5.find its angle of minimum

Tonton & Download Video Musik Gratis

⬇ DOWNLOAD NOW
Kalau muncul iklan pop-up, tutup lalu klik tombol kembali

Download lagu An equilateral glass prism is made of a material of refractive index 1.5.find its angle of minimum secara gratis hanya untuk keperluan promosi. Dukung artis favorit kamu dengan membeli musik original di iTunes atau platform resmi lainnya.