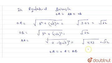
show that points A(a, 0),B(-a, 0),C(0,a root 3) are form an Equilateral triangle@maths naresh eclass

Tonton & Download Video Musik Gratis

⬇ DOWNLOAD NOW
Kalau muncul iklan pop-up, tutup lalu klik tombol kembali

Download lagu show that points A(a, 0),B(-a, 0),C(0,a root 3) are form an Equilateral triangle@maths naresh eclass secara gratis hanya untuk keperluan promosi. Dukung artis favorit kamu dengan membeli musik original di iTunes atau platform resmi lainnya.