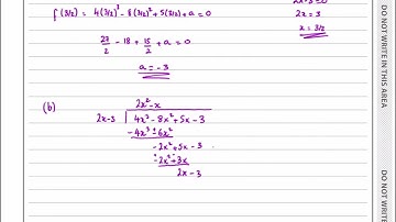
WMA12/01, (Edexcel) IAL P2 June 2023, Q2 The Factor Theorem, Division

Tonton & Download Video Musik Gratis

⬇ DOWNLOAD NOW
Kalau muncul iklan pop-up, tutup lalu klik tombol kembali

Download lagu WMA12/01, (Edexcel) IAL P2 June 2023, Q2 The Factor Theorem, Division secara gratis hanya untuk keperluan promosi. Dukung artis favorit kamu dengan membeli musik original di iTunes atau platform resmi lainnya.