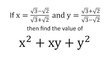
If x = (√3 - √2)/(√3 + √2) and y = (√3 + √2)/(√3 - √2) then find the value of x2 + xy + y2 | Class 9

Tonton & Download Video Musik Gratis

⬇ DOWNLOAD NOW
Kalau muncul iklan pop-up, tutup lalu klik tombol kembali

Download lagu If x = (√3 - √2)/(√3 + √2) and y = (√3 + √2)/(√3 - √2) then find the value of x2 + xy + y2 | Class 9 secara gratis hanya untuk keperluan promosi. Dukung artis favorit kamu dengan membeli musik original di iTunes atau platform resmi lainnya.