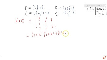
Find the shortest distance between lines : \( \vec{r}=6 \hat{i}+2 \hat{j}+2 \hat{k}+\lambda(\hat...

Tonton & Download Video Musik Gratis

⬇ DOWNLOAD NOW
Kalau muncul iklan pop-up, tutup lalu klik tombol kembali

Download lagu Find the shortest distance between lines : \( \vec{r}=6 \hat{i}+2 \hat{j}+2 \hat{k}+\lambda(\hat... secara gratis hanya untuk keperluan promosi. Dukung artis favorit kamu dengan membeli musik original di iTunes atau platform resmi lainnya.