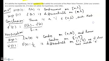
Practice Exam 3 - Calc 1 - 4.2.5 (find 'c' from the hypotheses of Rolle's theorem for a function)

Tonton & Download Video Musik Gratis

⬇ DOWNLOAD NOW
Kalau muncul iklan pop-up, tutup lalu klik tombol kembali

Download lagu Practice Exam 3 - Calc 1 - 4.2.5 (find 'c' from the hypotheses of Rolle's theorem for a function) secara gratis hanya untuk keperluan promosi. Dukung artis favorit kamu dengan membeli musik original di iTunes atau platform resmi lainnya.