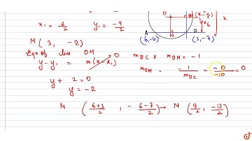
Find the Centre of Circle passing through the Points (6,-6), (3,-7) & (3,3) Class 10 Maths Imp Ques

Tonton & Download Video Musik Gratis

⬇ DOWNLOAD NOW
Kalau muncul iklan pop-up, tutup lalu klik tombol kembali

Download lagu Find the Centre of Circle passing through the Points (6,-6), (3,-7) & (3,3) Class 10 Maths Imp Ques secara gratis hanya untuk keperluan promosi. Dukung artis favorit kamu dengan membeli musik original di iTunes atau platform resmi lainnya.