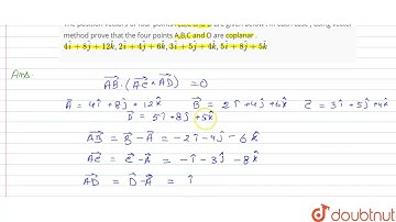
The position vectors of four points P,Q,R annd S are 2a+4c,5a+`3sqrt(3)b+4c,-

Tonton & Download Video Musik Gratis

⬇ DOWNLOAD NOW
Kalau muncul iklan pop-up, tutup lalu klik tombol kembali

Download lagu The position vectors of four points P,Q,R annd S are 2a+4c,5a+`3sqrt(3)b+4c,- secara gratis hanya untuk keperluan promosi. Dukung artis favorit kamu dengan membeli musik original di iTunes atau platform resmi lainnya.