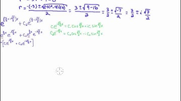
Constant Coefficient ODEs: Example 1 with Distinct Complex Roots

Tonton & Download Video Musik Gratis

⬇ DOWNLOAD NOW
Kalau muncul iklan pop-up, tutup lalu klik tombol kembali

Download lagu Constant Coefficient ODEs: Example 1 with Distinct Complex Roots secara gratis hanya untuk keperluan promosi. Dukung artis favorit kamu dengan membeli musik original di iTunes atau platform resmi lainnya.