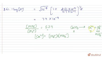
Calculate the Solubility of Ag3PO4 and CaCO3 Hg2Cl2

Tonton & Download Video Musik Gratis

⬇ DOWNLOAD NOW
Kalau muncul iklan pop-up, tutup lalu klik tombol kembali

Download lagu Calculate the Solubility of Ag3PO4 and CaCO3 Hg2Cl2 secara gratis hanya untuk keperluan promosi. Dukung artis favorit kamu dengan membeli musik original di iTunes atau platform resmi lainnya.