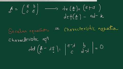
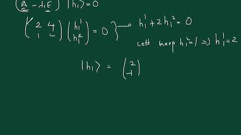
Group Theory Methods in Physicists | Lecture 12: Symmetries of Molecules, Schoenflies Notation

Tonton & Download Video Musik Gratis

⬇ DOWNLOAD NOW
Kalau muncul iklan pop-up, tutup lalu klik tombol kembali

Download lagu Group Theory Methods in Physicists | Lecture 12: Symmetries of Molecules, Schoenflies Notation secara gratis hanya untuk keperluan promosi. Dukung artis favorit kamu dengan membeli musik original di iTunes atau platform resmi lainnya.