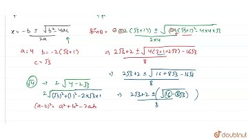
If `theta` is an acute angle such that `4sin^(2) theta-2(sqrt3+1)sintheta+sqrt3=0,"then": theta=`A)

Tonton & Download Video Musik Gratis

⬇ DOWNLOAD NOW
Kalau muncul iklan pop-up, tutup lalu klik tombol kembali

Download lagu If `theta` is an acute angle such that `4sin^(2) theta-2(sqrt3+1)sintheta+sqrt3=0,"then": theta=`A) secara gratis hanya untuk keperluan promosi. Dukung artis favorit kamu dengan membeli musik original di iTunes atau platform resmi lainnya.