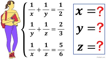
Find all solutions | Learn how to solve the system for X, Y, and Z quickly | Math Olympiad Training

Tonton & Download Video Musik Gratis

⬇ DOWNLOAD NOW
Kalau muncul iklan pop-up, tutup lalu klik tombol kembali

Download lagu Find all solutions | Learn how to solve the system for X, Y, and Z quickly | Math Olympiad Training secara gratis hanya untuk keperluan promosi. Dukung artis favorit kamu dengan membeli musik original di iTunes atau platform resmi lainnya.