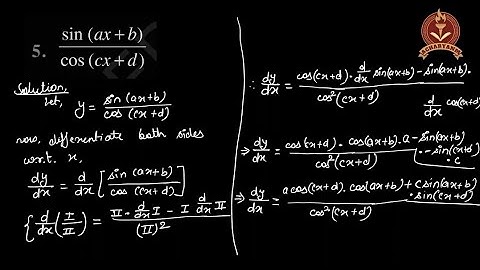
Class 12th Maths Exercise 5.2 Question 5 Differentiation of sin(ax+b)/cos(cx+d) NCERT

Tonton & Download Video Musik Gratis

โฌ‡ DOWNLOAD NOW
Kalau muncul iklan pop-up, tutup lalu klik tombol kembali

Download lagu Class 12th Maths Exercise 5.2 Question 5 Differentiation of sin(ax+b)/cos(cx+d) NCERT secara gratis hanya untuk keperluan promosi. Dukung artis favorit kamu dengan membeli musik original di iTunes atau platform resmi lainnya.