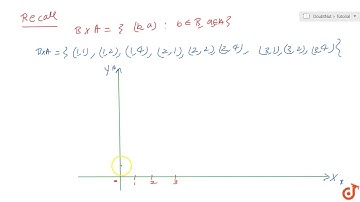
If ltmath gt ltmrow gt ltmi gtA lt/mi gt ltmo gt= lt/mo gt ltmrow gt ltmo gt{ lt/mo gt

Tonton & Download Video Musik Gratis

⬇ DOWNLOAD NOW
Kalau muncul iklan pop-up, tutup lalu klik tombol kembali

Download lagu If ltmath gt ltmrow gt ltmi gtA lt/mi gt ltmo gt= lt/mo gt ltmrow gt ltmo gt{ lt/mo gt secara gratis hanya untuk keperluan promosi. Dukung artis favorit kamu dengan membeli musik original di iTunes atau platform resmi lainnya.