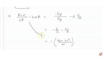
if alpha and beta are the zeroes of the quadratic polynomial f(x)=ax square+ bx+c then evaluate

Tonton & Download Video Musik Gratis

⬇ DOWNLOAD NOW
Kalau muncul iklan pop-up, tutup lalu klik tombol kembali

Download lagu if alpha and beta are the zeroes of the quadratic polynomial f(x)=ax square+ bx+c then evaluate secara gratis hanya untuk keperluan promosi. Dukung artis favorit kamu dengan membeli musik original di iTunes atau platform resmi lainnya.