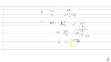
In a triangle ABC, medians AD and BE are deawn. IF AD= 4, angle D AB=(pi)/(6) and angle ABE=(pi)...

Tonton & Download Video Musik Gratis

⬇ DOWNLOAD NOW
Kalau muncul iklan pop-up, tutup lalu klik tombol kembali

Download lagu In a triangle ABC, medians AD and BE are deawn. IF AD= 4, angle D AB=(pi)/(6) and angle ABE=(pi)... secara gratis hanya untuk keperluan promosi. Dukung artis favorit kamu dengan membeli musik original di iTunes atau platform resmi lainnya.