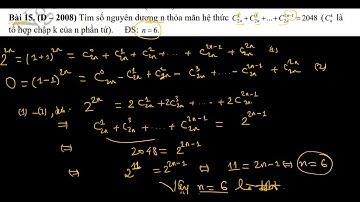
Cách giải nhanh Bằng máy tính Casio - Nhị thức Newton || Toán đại số lớp 11

Tonton & Download Video Musik Gratis

⬇ DOWNLOAD NOW
Kalau muncul iklan pop-up, tutup lalu klik tombol kembali

Download lagu Cách giải nhanh Bằng máy tính Casio - Nhị thức Newton || Toán đại số lớp 11 secara gratis hanya untuk keperluan promosi. Dukung artis favorit kamu dengan membeli musik original di iTunes atau platform resmi lainnya.