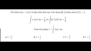
Cho f(x) liên tục trên [1/3 ;3] thỏa mãn f(x)+x f(1/x)=x^3-xTính I= ∫_(1/3)^3 f(x)/(x^2+x) dx

Tonton & Download Video Musik Gratis

⬇ DOWNLOAD NOW
Kalau muncul iklan pop-up, tutup lalu klik tombol kembali

Download lagu Cho f(x) liên tục trên [1/3 ;3] thỏa mãn f(x)+x f(1/x)=x^3-xTính I= ∫_(1/3)^3 f(x)/(x^2+x) dx secara gratis hanya untuk keperluan promosi. Dukung artis favorit kamu dengan membeli musik original di iTunes atau platform resmi lainnya.