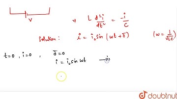
In the circuit shwon in fig. switch S is closed at time t = 0. Let `I_1 and I_2` be the currents...

Tonton & Download Video Musik Gratis

⬇ DOWNLOAD NOW
Kalau muncul iklan pop-up, tutup lalu klik tombol kembali

Download lagu In the circuit shwon in fig. switch S is closed at time t = 0. Let `I_1 and I_2` be the currents... secara gratis hanya untuk keperluan promosi. Dukung artis favorit kamu dengan membeli musik original di iTunes atau platform resmi lainnya.