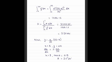
Two Hinged Parabolic Arch (Problem No 3) Uniformly Distributed Load with full span

Tonton & Download Video Musik Gratis

⬇ DOWNLOAD NOW
Kalau muncul iklan pop-up, tutup lalu klik tombol kembali

Download lagu Two Hinged Parabolic Arch (Problem No 3) Uniformly Distributed Load with full span secara gratis hanya untuk keperluan promosi. Dukung artis favorit kamu dengan membeli musik original di iTunes atau platform resmi lainnya.