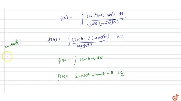
Let f(x)=∫▒(x^2 dx)/(1+x^2 )(1+√(1+x^2 )) and f(0)=0. Then the value of f(!) will be ...👇 | NIMCET

Tonton & Download Video Musik Gratis

⬇ DOWNLOAD NOW
Kalau muncul iklan pop-up, tutup lalu klik tombol kembali

Download lagu Let f(x)=∫▒(x^2 dx)/(1+x^2 )(1+√(1+x^2 )) and f(0)=0. Then the value of f(!) will be ...👇 | NIMCET secara gratis hanya untuk keperluan promosi. Dukung artis favorit kamu dengan membeli musik original di iTunes atau platform resmi lainnya.