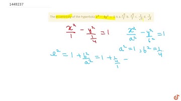
If `|2z-4-2i|=|z| sin (pi/4 -arg z)` then the locus of z represents a conic where eccentricity ...

Tonton & Download Video Musik Gratis

⬇ DOWNLOAD NOW
Kalau muncul iklan pop-up, tutup lalu klik tombol kembali

Download lagu If `|2z-4-2i|=|z| sin (pi/4 -arg z)` then the locus of z represents a conic where eccentricity ... secara gratis hanya untuk keperluan promosi. Dukung artis favorit kamu dengan membeli musik original di iTunes atau platform resmi lainnya.