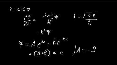
Griffiths introduction to quantum mechanics section 2.3.1 part two. How to justify the operators

Tonton & Download Video Musik Gratis

⬇ DOWNLOAD NOW
Kalau muncul iklan pop-up, tutup lalu klik tombol kembali

Download lagu Griffiths introduction to quantum mechanics section 2.3.1 part two. How to justify the operators secara gratis hanya untuk keperluan promosi. Dukung artis favorit kamu dengan membeli musik original di iTunes atau platform resmi lainnya.