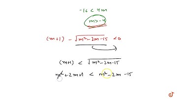
The set of all values of m for which both the roots of the equation x^2 - (m + 1)x + m + 4 = 0 are

Tonton & Download Video Musik Gratis

⬇ DOWNLOAD NOW
Kalau muncul iklan pop-up, tutup lalu klik tombol kembali

Download lagu The set of all values of m for which both the roots of the equation x^2 - (m + 1)x + m + 4 = 0 are secara gratis hanya untuk keperluan promosi. Dukung artis favorit kamu dengan membeli musik original di iTunes atau platform resmi lainnya.