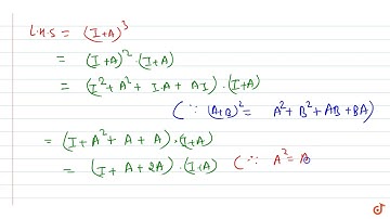
If `A` is a square matrix such that `A^2=A ,` show that `(I+A)^3=7A+Idot`

Tonton & Download Video Musik Gratis

⬇ DOWNLOAD NOW
Kalau muncul iklan pop-up, tutup lalu klik tombol kembali

Download lagu If `A` is a square matrix such that `A^2=A ,` show that `(I+A)^3=7A+Idot` secara gratis hanya untuk keperluan promosi. Dukung artis favorit kamu dengan membeli musik original di iTunes atau platform resmi lainnya.