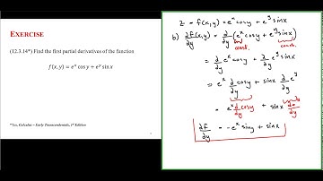
How to Find the Partial Derivative of the Function f(x, y)=sin(x) + cos(y) with Respect to y #shorts

Tonton & Download Video Musik Gratis

⬇ DOWNLOAD NOW
Kalau muncul iklan pop-up, tutup lalu klik tombol kembali

Download lagu How to Find the Partial Derivative of the Function f(x, y)=sin(x) + cos(y) with Respect to y #shorts secara gratis hanya untuk keperluan promosi. Dukung artis favorit kamu dengan membeli musik original di iTunes atau platform resmi lainnya.