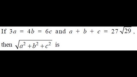
If 3a=4b=6c and a+b+c = 27√29 then find the value of √a²+b²+c² by Keshav Sharma #mathematician

Tonton & Download Video Musik Gratis

⬇ DOWNLOAD NOW
Kalau muncul iklan pop-up, tutup lalu klik tombol kembali

Download lagu If 3a=4b=6c and a+b+c = 27√29 then find the value of √a²+b²+c² by Keshav Sharma #mathematician secara gratis hanya untuk keperluan promosi. Dukung artis favorit kamu dengan membeli musik original di iTunes atau platform resmi lainnya.