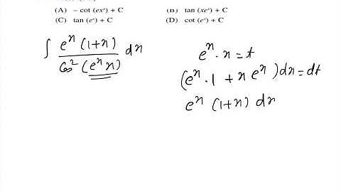
Integral e^x(1+x) / cos²(x e^x) Imp VSAQ

Tonton & Download Video Musik Gratis

⬇ DOWNLOAD NOW
Kalau muncul iklan pop-up, tutup lalu klik tombol kembali

Download lagu Integral e^x(1+x) / cos²(x e^x) Imp VSAQ secara gratis hanya untuk keperluan promosi. Dukung artis favorit kamu dengan membeli musik original di iTunes atau platform resmi lainnya.