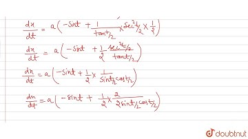
If x = a (cost + log tan t / 2) , y = a sint Find dy/dx | NCERT | CalculusCheck | Class12

Tonton & Download Video Musik Gratis

⬇ DOWNLOAD NOW
Kalau muncul iklan pop-up, tutup lalu klik tombol kembali

Download lagu If x = a (cost + log tan t / 2) , y = a sint Find dy/dx | NCERT | CalculusCheck | Class12 secara gratis hanya untuk keperluan promosi. Dukung artis favorit kamu dengan membeli musik original di iTunes atau platform resmi lainnya.