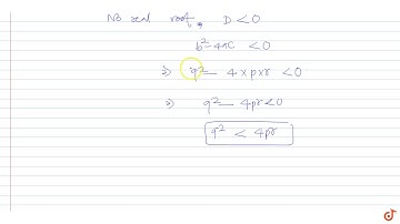
If px2 + qx + r = 0 has no real roots and p, q, r are real such that p + r 0, then

Tonton & Download Video Musik Gratis

⬇ DOWNLOAD NOW
Kalau muncul iklan pop-up, tutup lalu klik tombol kembali

Download lagu If px2 + qx + r = 0 has no real roots and p, q, r are real such that p + r 0, then secara gratis hanya untuk keperluan promosi. Dukung artis favorit kamu dengan membeli musik original di iTunes atau platform resmi lainnya.