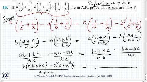
If a(1/b+1/c), b(1/c+1/a), c(1/a+1/b) are in A.P., prove that a, b, c are in A.P.

Tonton & Download Video Musik Gratis

⬇ DOWNLOAD NOW
Kalau muncul iklan pop-up, tutup lalu klik tombol kembali

Download lagu If a(1/b+1/c), b(1/c+1/a), c(1/a+1/b) are in A.P., prove that a, b, c are in A.P. secara gratis hanya untuk keperluan promosi. Dukung artis favorit kamu dengan membeli musik original di iTunes atau platform resmi lainnya.