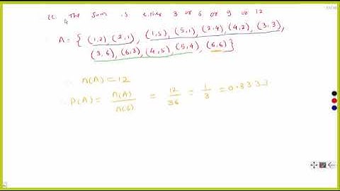
You toss a coin and roll a die. The event "tossing tails and rolling a 2 or 6" is a simple event.

Tonton & Download Video Musik Gratis

⬇ DOWNLOAD NOW
Kalau muncul iklan pop-up, tutup lalu klik tombol kembali

Download lagu You toss a coin and roll a die. The event "tossing tails and rolling a 2 or 6" is a simple event. secara gratis hanya untuk keperluan promosi. Dukung artis favorit kamu dengan membeli musik original di iTunes atau platform resmi lainnya.