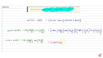
Prove that: ltmath gt ltmrow gt ltmsup gt ltmrow gt ltmi gtsin lt/mi gt lt/mrow gt ltmn

Tonton & Download Video Musik Gratis

⬇ DOWNLOAD NOW
Kalau muncul iklan pop-up, tutup lalu klik tombol kembali

Download lagu Prove that: ltmath gt ltmrow gt ltmsup gt ltmrow gt ltmi gtsin lt/mi gt lt/mrow gt ltmn secara gratis hanya untuk keperluan promosi. Dukung artis favorit kamu dengan membeli musik original di iTunes atau platform resmi lainnya.