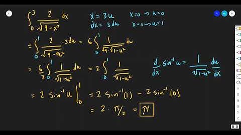
Resolving a Definite Integral Using u-Substitution & Changing Bounds of Integration

Tonton & Download Video Musik Gratis

⬇ DOWNLOAD NOW
Kalau muncul iklan pop-up, tutup lalu klik tombol kembali

Download lagu Resolving a Definite Integral Using u-Substitution & Changing Bounds of Integration secara gratis hanya untuk keperluan promosi. Dukung artis favorit kamu dengan membeli musik original di iTunes atau platform resmi lainnya.