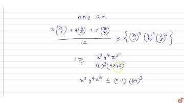
If x, y, z be positive real numbers such that x+y+z=12 and x^3 y^4 z^5=(0.1) | Sequence Series JEE

Tonton & Download Video Musik Gratis

⬇ DOWNLOAD NOW
Kalau muncul iklan pop-up, tutup lalu klik tombol kembali

Download lagu If x, y, z be positive real numbers such that x+y+z=12 and x^3 y^4 z^5=(0.1) | Sequence Series JEE secara gratis hanya untuk keperluan promosi. Dukung artis favorit kamu dengan membeli musik original di iTunes atau platform resmi lainnya.