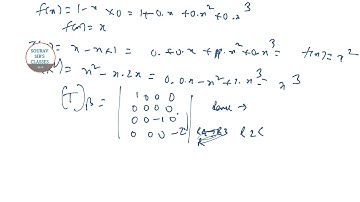
IIT JAM 2019 MATHS PAPER Question NO. 3 solved, Check it out now and clear your doubts

Tonton & Download Video Musik Gratis

⬇ DOWNLOAD NOW
Kalau muncul iklan pop-up, tutup lalu klik tombol kembali

Download lagu IIT JAM 2019 MATHS PAPER Question NO. 3 solved, Check it out now and clear your doubts secara gratis hanya untuk keperluan promosi. Dukung artis favorit kamu dengan membeli musik original di iTunes atau platform resmi lainnya.