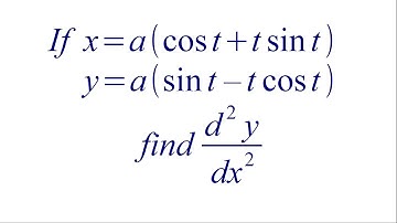
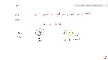
If `x=a(cos t + t sin t) and y=a(sin t-t cost),` the find the value of `(d^2y)/(dx^2) a tt =pi/4.`

Tonton & Download Video Musik Gratis

⬇ DOWNLOAD NOW
Kalau muncul iklan pop-up, tutup lalu klik tombol kembali

Download lagu If `x=a(cos t + t sin t) and y=a(sin t-t cost),` the find the value of `(d^2y)/(dx^2) a tt =pi/4.` secara gratis hanya untuk keperluan promosi. Dukung artis favorit kamu dengan membeli musik original di iTunes atau platform resmi lainnya.