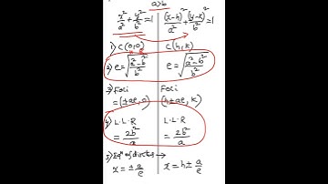
AP/TS INTERMEDIATE MATHS 2B ELLIPSE TOPIC MOST IMPORTANT 4 MARKS PROBLEMS #BHASKARACADEMY #SHORTS

Tonton & Download Video Musik Gratis

⬇ DOWNLOAD NOW
Kalau muncul iklan pop-up, tutup lalu klik tombol kembali

Download lagu AP/TS INTERMEDIATE MATHS 2B ELLIPSE TOPIC MOST IMPORTANT 4 MARKS PROBLEMS #BHASKARACADEMY #SHORTS secara gratis hanya untuk keperluan promosi. Dukung artis favorit kamu dengan membeli musik original di iTunes atau platform resmi lainnya.