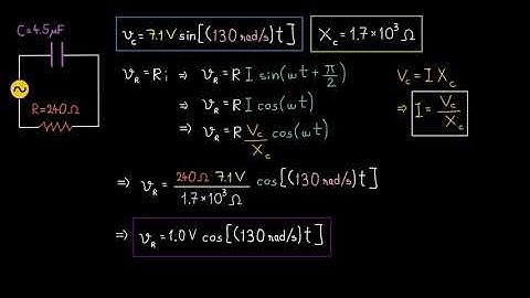
A capacitor is connected across an ac source that has voltage amplitude 60.0 V and frequency 80.0 H…

Tonton & Download Video Musik Gratis

⬇ DOWNLOAD NOW
Kalau muncul iklan pop-up, tutup lalu klik tombol kembali

Download lagu A capacitor is connected across an ac source that has voltage amplitude 60.0 V and frequency 80.0 H… secara gratis hanya untuk keperluan promosi. Dukung artis favorit kamu dengan membeli musik original di iTunes atau platform resmi lainnya.